一、培養目標
招收攻讀碩士學位研究生(包含學術學位研究生和專業學位研究生,以下簡稱碩士生),旨在培養熱愛祖國,擁護中國共產黨的領導,擁護社會主義制度,遵紀守法,品德良好,具有服務國家服務人民的社會責任感,掌握本學科堅實的基礎理論和系統的專業知識,具有創新精神、創新能力和從事科學研究、教學、管理等工作能力的高層次學術型專門人才以及具有較強解決實際問題的能力、能夠承擔專業技術或管理工作、具有良好職業素養的高層次應用型專門人才。
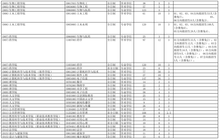
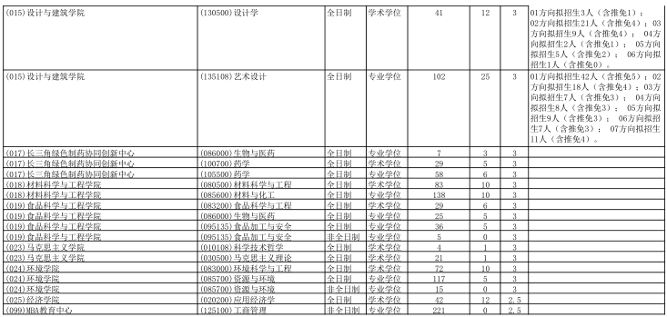
2021年浙江工業大學共擬招收碩士研究生4074名左右(含推薦免試、“退役大學生士兵”專項計劃、聯合培養等),其中擬招收全日制學術學位碩士研究生1479人,全日制專業學位碩士研究生2090人,非全日制專業學位碩士研究生505人。實際招生人數以教育部下達的正式招生計劃為準,招生人數在錄取時,將根據報考情況(含“退役大學生士兵”專項碩士研究生報考情況)、實際錄取推免碩士生情況等因素在全校各學院、專業間進行適當調整,目錄中的招生計劃數僅供參考。
二、報考條件
(一)報名參加全國碩士研究生招生考試的人員,須符合下列條件:
1、中華人民共和國公民。
2、擁護中國共產黨的領導,品德良好,遵紀守法。
3、身體健康狀況符合國家和我校規定的體檢要求。
4、考生學業水平必須符合下列條件之一:
(1)國家承認學歷的應屆本科畢業生(含普通高校、成人高校、普通高校舉辦的成人高等學歷教育等應屆本科畢業生)及自學考試和網絡教育屆時可畢業本科生。考生錄取當年入學前須取得國家承認的本科畢業證書或教育部留學服務中心出具的《國(境)外學歷學位認證書》,否則錄取資格無效。
(2)具有國家承認的大學本科畢業學歷的人員。
(3)獲得國家承認的高職高專畢業學歷后滿2年(從畢業后到錄取當年入學之日,下同)或2年以上的人員,達到大學本科畢業同等學力,且具有所報考專業6門本科主干課成績(需有進修學校教務部門出具成績證明或出具自學考試成績單)的人員,以及國家承認學歷的本科結業生,按本科畢業同等學力身份報考。
(4)已獲碩士、博士學位的人員。
在校研究生報考須在報名前征得所在培養單位同意。
(二)報名參加以下專業學位全國碩士研究生招生考試的,按下列規定執行。
1、報名參加法律(非法學)專業學位碩士研究生招生考試的人員,須符合下列條件:
(1)符合(一)中的各項要求。
(2)報考前所學專業為非法學專業(普通高等學校本科專業目錄法學門類中的法學類專業[代碼為0301]畢業生、專科層次法學類畢業生和自學考試形式的法學類畢業生等不得報考)。
2、報名參加法律(法學)專業學位碩士研究生招生考試的人員,須符合下列條件:
(1)符合(一)中的各項要求。
(2)報考前所學專業為法學專業(僅普通高等學校本科專業目錄法學門類中的法學類專業[代碼為0301]畢業生、專科層次法學類畢業生和自學考試形式的法學類畢業生等可以報考)。
3、報名參加工商管理、公共管理、工程管理碩士中的工程管理【代碼為125601】專業學位碩士研究生招生考試的人員,須符合下列條件:
(1)符合(一)中第1、2、3各項的要求。
(2)大學本科畢業后有3年以上工作經驗的人員;或獲得國家承認的高職高專畢業學歷或大學本科結業后,達到大學本科畢業同等學力并有5年以上工作經驗的人員;或獲得碩士學位或博士學位后有2年以上工作經驗的人員。
工商管理碩士專業學位研究生相關考試招生政策同時按照《教育部關于進一步規范工商管理碩士專業學位研究生教育的意見》(教研〔2016〕2號)有關規定執行。
(三)推薦免試
具有推薦免試資格的考生,須在國家規定時間內登錄“全國推薦優秀應屆本科畢業生免試攻讀研究生信息公開暨管理服務系統”(網址:http://yz.chsi.com.cn/tm)填報志愿并參加復試。截止規定日期仍未落實接收單位的推免生不再保留推免資格。已被招生單位接收的推免生,不得再報名參加當年碩士研究生考試招生,否則取消其推免錄取資格。
經教育部批準,我校可以接收外單位(必須具有推薦免試資格的高校)及本校優秀應屆本科畢業生為免試碩士研究生。經復試后被接收的推免生須在國家規定時間內登錄“全國推薦優秀應屆本科畢業生免試攻讀研究生信息公開暨管理服務系統”(網址:http://yz.chsi.com.cn/tm)進行確認。
我校列入2021年碩士研究生招生的所有全日制專業,包括全日制學術學位和全日制專業學位均可接收推免生。
三、報名
報名包括網上報名和網上確認(現場確認)兩個階段。所有參加碩士研究生招生考試的考生均須進行網上報名,并在網上或到報考點現場確認網報信息和采集本人圖像等相關電子信息,同時按規定繳納報考費。
應屆本科畢業生原則上應選擇就讀學校所在省級教育招生考試機構指定的報考點辦理網上報名和網上確認(現場確認)手續;其他考生(含工商管理、公共管理、工程管理等專業學位考生)應選擇工作或戶口所在地省級教育招生考試機構指定的報考點辦理網上報名和網上確認(現場確認)手續。
(一)網上報名
1、網上報名日期:2020年10月10日—10月31日,每天9:00-22:00。
網上預報名時間為2020年9月24日—9月27日,每天9:00-22:00。
2、報名流程:考生應在規定時間登錄“中國研究生招生信息網”(公網網址:http://yz.chsi.com.cn,教育網址:http://yz.chsi.cn,以下簡稱“研招網”)瀏覽報考須知,并按教育部、省級教育招生考試機構、報考點以及我校的網上公告要求報名。
報名期間,考生可自行修改網上報名信息或重新填報報名信息,但一位考生只能保留一條有效報名信息。逾期不再補報,也不得修改報名信息。
3、網上報名填寫報考信息時注意事項:
(1)考生報名時只填報我校的一個專業。待考試結束,教育部公布考生進入復試的初試成績基本要求后,我校一志愿考生以及一志愿報考其他學校的考生均可通過“研招網”調劑服務系統了解我校的調劑辦法、計劃余額信息,并按相關規定填報調劑志愿。
(2)考生應如實填寫學習情況和提供真實材料。
(3)考生要準確填寫本人所受獎懲情況,特別是要如實填寫在參加普通和成人高等學校招生考試、全國碩士研究生招生考試、高等教育自學考試等國家教育考試過程中因違規、作弊所受處罰情況。對弄虛作假者,將按照《國家教育考試違規處理辦法》《普通高等學校招生違規行為處理暫行辦法》嚴肅處理。
(4)報名期間將對考生學歷(學籍)信息進行網上校驗,考生可上網查看學歷(學籍)校驗結果。考生也可在報名前或報名期間自行登錄“中國高等教育學生信息網(網址:http://www.chsi.com.cn)”查詢本人學歷(學籍)信息。未通過學歷(學籍)網上校驗的考生應及時到學籍學歷權威認證機構進行認證,在復試前將認證報告交至我校招生學院核驗。
(5)按規定享受少數民族照顧政策的考生,在網上報名時須如實填寫少數民族身份,且申請定向就業少數民族地區。
(6)報考“退役大學生士兵”專項碩士研究生招生計劃的考生,應為高校學生應征入伍退出現役,且符合碩士研究生報考條件者〔高校學生指全日制普通本專科(含高職)、研究生、第二學士學位的應(往)屆畢業生、在校生和入學新生,以及成人高校招收的普通本專科(高職)應(往)屆畢業生、在校生和入學新生,下同〕。考生報名時應當選擇填報退役大學生士兵專項計劃,并按要求填報本人入伍前的入學信息以及入伍、退役等相關信息。
(7)考生應當認真了解并嚴格按照報考條件及相關政策要求選擇填報志愿。因不符合報考條件及相關政策要求,造成后續不能網上確認(現場確認)、考試、復試或錄取的,后果由考生本人承擔。
(8)考生應當按要求準確填寫個人網上報名信息并提供真實材料。考生因網報信息填寫錯誤、填報虛假信息而造成不能考試、復試或錄取的,后果由考生本人承擔。
(9)通訊地址主要用于寄發錄取通知書等有關材料,考生務必認真填寫通訊地址(省、市、縣、地址、郵編、聯系電話、姓名等),通訊地址須在2021年7月前有效。考生所填的通訊地址須詳盡、準確,以免因地址不詳而出現無法投遞等問題。
(二)網上確認(現場確認)
所有考生(不含推免生)均應當在規定時間內在網上或到報考點指定地點現場核對并確認網上報名信息,逾期不再補辦。
1、網上確認(現場確認)時間
網上確認(現場確認)時間由各省級教育招生考試機構根據國家招生工作安排和本地區報考組織情況自行確定和公布,請考生及時關注。
2、網上確認(現場確認)程序
(1)考生在規定時間內在網上或到報考點指定地點進行確認。
(2)考生網上確認(現場確認)應當提交本人居民身份證、學歷學位證書(應屆本科畢業生持學生證)和網上報名編號,由報考點工作人員進行核對。報考“退役大學生士兵”專項碩士研究生招生計劃的考生還應當提交本人《入伍批準書》和《退出現役證》。
考生應當對本人網上報名信息進行認真核對并確認。報名信息經考生確認后一律不作修改,因考生填寫錯誤引起的一切后果由其自行承擔。
(3)考生應當按規定繳納報考費。
(4)考生應當按報考點規定配合采集本人圖像等相關電子信息。
(5)考生報名時須簽署《考生誠信考試承諾書》并遵守相關約定及要求。
四、考生報考資格審查
我校和報考點將對考生網上填報的報考信息和網上確認(現場確認)材料進行全面審查,確定考生的考試資格。考生填報的報名信息與報考條件不符的,不得準予考試。在復試前將對考生的有效身份證件、學歷學位證書、學歷學籍核驗結果、學生證等報名材料原件及考生資格進行嚴格審查,對不符合規定者,不予復試。
未通過網上學歷(學籍)校驗的考生,我校要求考生在復試前提供權威機構出具的認證證明。我校在審查考生資格時,發現偽造證件情況時,可扣留偽造證件。
對弄虛作假者(含推免生),不論何時,一經查實,即按有關規定取消報考資格、復試資格、錄取資格、入學資格或學籍。
五、初試
(一)打印準考證
2020年12月19日—12月28日期間,考生可憑網報“用戶名”和“密碼”登錄“研招網”自行下載打印《準考證》。《準考證》使用A4幅面白紙打印,正、反兩面在使用期間不得涂改或書寫。考生憑下載打印的《準考證》及有效居民身份證參加初試和復試。
(二)初試時間
2020年12月26日—12月27日(每天上午8:30-11:30,下午14:00-17:00)。
超過3小時的考試科目在12月28日進行(起始時間8:30,截止時間見準考證)。
考試時間以北京時間為準,不在規定日期舉行的碩士研究生招生考試,國家一律不予承認。
(三)初試地點:考生現場確認的報考點指定的考試地點。
六、復試
(一)復試基本要求
達到教育部確定的全國碩士研究生招生考試初試成績基本要求。我校個別專業視上線生源數量情況可能制定高于國家分數線的成績要求。
我校依據教育部有關政策自主確定并公布“退役大學生士兵”專項碩士研究生招生計劃考生進入復試的初試成績要求和接受其他招生單位“退役大學生士兵”專項碩士研究生招生計劃考生調劑的初試成績要求。
(二)復試形式
復試是碩士研究生招生考試的重要組成部分,用于考查考生的創新能力、專業素養和綜合素質等,是碩士研究生錄取的必要環節,復試不合格者不予錄取。
復試的形式主要有筆試、口試和實踐技能考核等。對以同等學力身份(以報名時填報的信息為準)報考的考生(除法律碩士(非法學)、工商管理碩士、公共管理碩士、工程管理碩士外),復試時,須加試兩門與報考專業相關的本科主干課程。加試科目不得與初試科目相同。加試方式為筆試。對成人教育應屆本科畢業生及復試時尚未取得本科畢業證書的自考和網絡教育考生,由各招生學院自主確定是否加試。
七、調劑
調劑工作的具體要求和程序由我校按教育部錄取政策確定并公布。屆時,考生可通過研招網調劑服務系統填報調劑志愿。
八、體檢
考生應按我校要求及時到我校醫院或其他二級甲等以上(含二級甲等)醫院進行體格檢查。體檢參照教育部、原衛生部、中國殘聯印發的《普通高等學校招生體檢工作指導意見》(教學〔2003〕3號)要求,按照《教育部辦公廳衛生部辦公廳關于普通高等學校招生學生入學身體檢查取消乙肝項目檢測有關問題的通知》(教學廳〔2010〕2號)等文件的要求執行。
九、錄取
我校根據國家下達的招生計劃、復試錄取辦法以及考生初試和復試成績、思想政治表現、身心健康狀況等擇優確定擬錄取名單。
我校將把考生考試誠信狀況作為思想政治素質和品德考核的重要內容和錄取的重要依據,對于思想品德考核不合格者,不予錄取。
碩士研究生按其學習方式分為全日制碩士研究生和非全日制碩士研究生兩種。碩士研究生按其就業方式分為非定向就業和定向就業兩種,定向就業的碩士研究生應當在被我校擬錄取前與我校、用人單位分別簽訂定向就業合同。考生因報考碩士研究生與所在單位產生的問題由考生自行處理。若因此造成考生不能復試或無法錄取,學校不承擔責任。
經考生確認的報考信息在錄取階段一律不作修改,對報考資格不符合規定者不予錄取。
經我校錄取的研究生新生須在規定的期限內到校辦理報到入學手續。因故不能按時報到者,應憑有關證明事先向所在學院請假,請假期限為兩周;否則,視為放棄入學資格。應屆本科畢業生及自學考試和網絡教育屆時可畢業本科生,入學時未取得國家承認的本科畢業證書者,錄取資格無效。
新生報到后,我校將對其進行思想政治素質和道德品質、專業素質、健康狀況等全面復查,發現有不符合標準者按照有關規定進行處理。對新生復查期間的舉報情況、調查情況、處理情況在全校范圍內公開。
被錄取的新生,經考生本人申請和我校同意后可以保留入學資格,工作1至2年,再入學學習。
十、違規處理
對在研究生招生考試中有違反考試管理規定和考場紀律,影響考試公平、公正行為的考生,按照《國家教育考試違規處理辦法》(教育部令第33號)嚴肅處理。對在校生,由其所在學校按有關規定給予處分,直至開除學籍;對在職考生,將通知考生所在單位,由考生所在單位視情節給予黨紀或政紀處分;構成違法的,由司法機關依法追究法律責任,其中構成犯罪的,依法追究刑事責任。
相關單位應將考生在碩士研究生招生考試中的違規或作弊事實記入《國家教育考試誠信檔案》,并將考生的有關情況通報其所在學校或單位,記入考生人事檔案,作為其今后升學和就業的重要參考依據。
十一、學費與獎助學金
(一)學費標準
按照國家政策,我校招收全日制碩士研究生的專業,學費一般為8000元/年;全日制藝術設計專業碩士(代碼135108)、全日制會計專業碩士(代碼125300)為10000元/年。
招收非全日制研究生的專業,學費一般為2.5萬元(全程);工商管理(MBA)專業碩士(代碼125100)為10.8萬元(全程);工程管理(MEM)專業碩士(代碼125601)為5萬元(全程)、公共管理(MPA)專業碩士(代碼125200)為5.6萬元(全程);會計(MPAcc)專業碩士(代碼125300)為8萬元(全程)。各專業學費最終以物價部門最后批準為準。
(二)全日制研究生獎助學金
1、研究生國家助學金:碩士研究生6000元/年,按月發放;
2、研究生國家獎學金:碩士研究生20000元/年(一定比例);
3、研究生學業獎學金(全覆蓋):一年級研究生8000元/生,二、三年級研究生根據在校表現分別獲得8000元/生和12000元/生。
4、新生獎學金:被我校接收的普通推薦免試碩士研究生一次性獎勵10000元。
5、單項獎學金:在德、智、體等某一方面取得優異成績,或為學校作出特殊貢獻的研究生獎勵1000元。
6、專項獎學金:社會各界在我校設立的獎學金,用于獎勵或資助相關研究生。
各項獎助學金按學校最新相關規定評審發放。
為激勵研究生努力學習、潛心科研、更好地支持研究生順利完成學業,學校還設置了研究生“三助”崗位,提供“三助”津貼;設立了研究生出國資助、優秀學位論文培育、創新成果獎勵專項經費。家庭經濟困難研究生還可以通過申請助學貸款、發放特殊困難補助等方式得到資助。
(三)非全日制研究生獎助學金政策,按教育部相關文件執行。
十二、學制
碩士研究生基本學制2.5-3年,具體見招生專業目錄。
十三、住宿情況
全日制非定向研究生安排住宿;其他類型研究生原則上不安排住宿,如確有住宿需求,可在報到入學后提交申請,學校依據校區接納能力最終確定。
十四、培養所在校區
錄取在化學工程學院、生物工程學院、藥學院、長三角綠色制藥協同創新中心、環境學院、
材料科學與工程學院、食品科學與工程學院各專業的新生培養所在校區:浙江工業大學莫干山校區(湖州市德清縣長虹東街999號/工大路1號)。
錄取在機械工程學院、信息工程學院、計算機科學與技術學院(軟件學院)、土木工程學院、理學院、管理學院、經濟學院、教育科學與技術學院(職業教育技術學院)、人文學院、設計與建筑學院、法學院、公共管理學院、馬克思主義學院各專業的新生培養所在校區:浙江工業大學屏峰校區(杭州市西湖區留下鎮留和路288號)或者浙江工業大學朝暉校區(杭州市朝暉六區潮王路18號)。
錄取在管理學院的非全日制會計、工程管理以及MBA教育中心的非全日制工商管理等專業的新生培養所在校區:浙江工業大學朝暉校區(杭州市朝暉六區潮王路18號)。
十五、其他事項
(一)根據教育部招生文件的規定,學校不舉辦任何形式的業務課考前輔導班。學校研究生招生辦不辦理郵購書籍業務。
(二)有關招生信息請隨時留意我校研究生招生網http://www.yz.zjut.edu.cn/
(三)學校紀檢監察辦公室對學校研究生招生工作實施全程監督。
(四)本招生章程與國家相關政策如有不符,以國家政策為準。
十六、咨詢、申述方式:
考生對招生環節有異議的,可向招生學院以書面形式具名提起申訴,學院應當受理并予以答復。對答復有異議的,可向學校研究生招生辦公室提起申訴。
浙江工業大學研究生招生辦公室:東教科北208室
電話:0571-88320119
傳真:0571-88320119
E-mail:yzb@zjut.edu.cn
學校紀檢監察部門申訴舉報電話:0571-88320102
通訊地址:浙江杭州朝暉六區潮王路18號 郵編:310014



原文鏈接:http://www.yz.zjut.edu.cn/details.asp?tid=6&id=838
以上就是研線網小編整理“2021考研招生簡章:浙江工業大學2021年碩士研究生招生簡章”的全部內容,更多內容盡在招生簡章欄目,請持續關注!