
以上公示期為2022年4月20日-29日,對上述公示的考生如有異議,可在4月29日11:00前將意見反饋到研招辦,電話:0431-86172399,具體意見可發送到郵箱yz86172399 163.com,學校紀檢監察電話:0431-86172525。
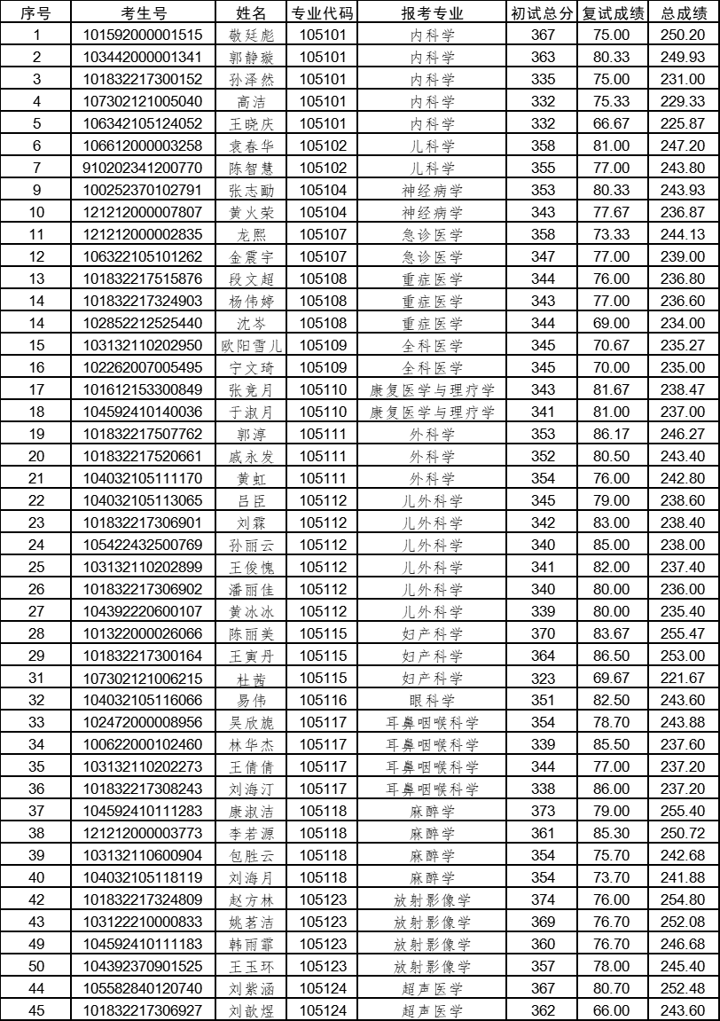
原文標題:長春中醫藥大學2022年碩士研究生招生考試臨床醫學院部分學科第一次調劑考生擬錄取公示(一)
原文鏈接:https://y.ccucm.edu.cn/info/1087/16775.htm
以上就是“2022考研擬錄取名單:長春中醫藥大學2022年碩士研究生招生考試臨床醫學院部分學科第一次調劑考生擬錄取公示(一)”的全部內容,更多錄取名單相關內容請持續關注本網站。