
以上公示期為2022年4月11日-22日,對上述公示的考生如有異議,可在4月22日11:00前將意見反饋到研招辦,電話:0431-86172399,具體意見可發送到郵箱yz86172399@163.com,學校紀檢監察電話:0431-86172532。
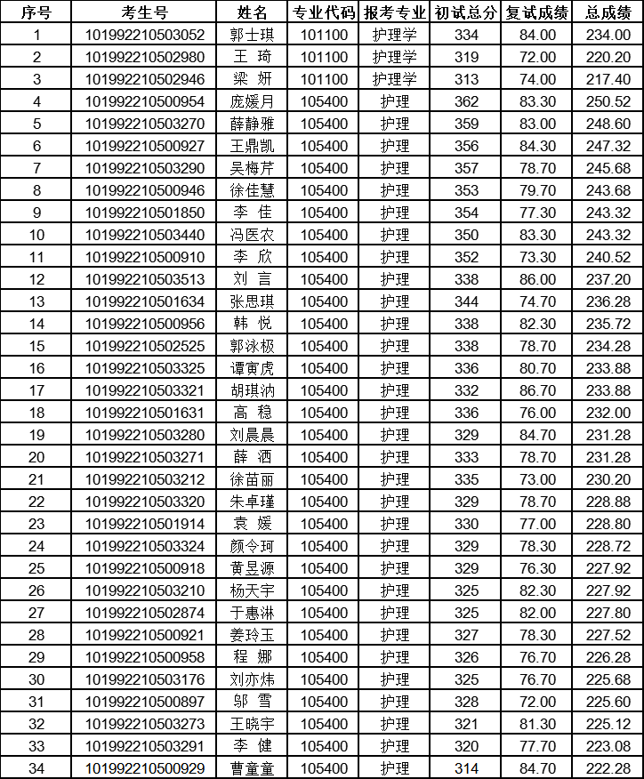
原文標題:長春中醫藥大學2022年碩士研究生招生考試護理學院一志愿考生擬錄取公示
原文鏈接:https://y.ccucm.edu.cn/info/1087/16741.htm
以上就是“2022考研擬錄取名單:長春中醫藥大學2022年碩士研究生招生考試護理學院一志愿考生擬錄取公示”的全部內容,更多錄取名單相關內容請持續關注本網站。