22考研的同學,往屆考生的血淚教訓,考得好不如選的好。為了幫助大家更好地擇校穩穩上岸,研線網幫大家匯總了“報錄比”、“報名人數”“各專業招生情況”、“歷年分數線”等院校信息,讓你考研入門就“躺贏”。領取方式:關注“研線網”公眾號,后臺回復“22備考”即可,更多考研資料、資訊,就在研線網!

根據教育部和北京市有關文件要求,現將北京師范大學2021年統考擬錄取碩士研究生名單予以公示,公示時間自2021年4月3日起至4月19日止。如對本公示名單有異議,請于公示期內與北京師范大學招生辦公室聯系,聯系郵箱:yanzh@bnu.edu.cn。
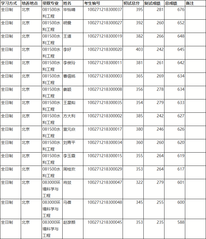
說明:此名單為擬錄取名單,列入名單的考生需上報北京教育考試院和教育部,并經北京教育考試院審查和教育部全國錄取聯合檢查通過后,方列入我校2021年碩士研究生招生正式錄取名單。
公費師范生在職攻讀教育碩士待確定擬錄取名單后另行公示。
北京師范大學招生辦公室
2021年4月3日

原文標題:2021年統考擬錄取碩士研究生公示說明
原文鏈接:https://yz.bnu.edu.cn/content/ss_nlqmd/2021/yxs_yxsm-030.html