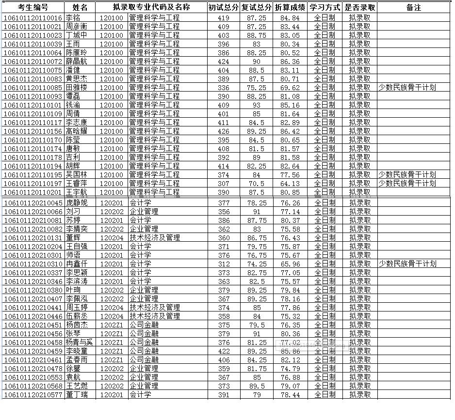
近日,已有院校公布2021研究生擬錄取名單。考研的同學們有沒有關注?今天小編就整理了“2021考研擬錄取名單:四川大學商學院2021年碩士研究生擬錄取名單(學術型)”的相關內容,希望能對大家有所幫助。
22考研的同學,往屆考生的血淚教訓,考得好不如選的好。為了幫助大家更好地擇校穩穩上岸,研線網幫大家匯總了“報錄比”、“報名人數”“各專業招生情況”、“歷年分數線”等院校信息,讓你考研入門就“躺贏”。領取方式:關注“研線網”公眾號,后臺回復“22備考”即可,更多考研資料、資訊,就在研線網!

原文標題:四川大學商學院2021年學術型碩士研究生擬錄取名單公示
原文鏈接:http://bs.scu.edu.cn/zhaosheng/202103/7007.html
以上就是“2021考研擬錄取名單:四川大學商學院2021年碩士研究生擬錄取名單(學術型)”的全部內容,更多錄取名單相關內容點擊2021考研擬錄取名單:全國各大院校2021年碩士研究生擬錄取名單匯總!查看詳情!