


原文標題:東華大學公示2020級碩士(全日制)研究生研究生擬錄取名單公示
原文鏈接:http://yjszs.dhu.edu.cn/ae/af/c7128a241327/page.htm
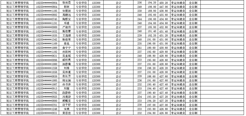
以上就是“2020考研擬錄取名單:東華大學2020年碩士研究生招生考試成績及擬錄取名單(會計)”的全部內容,更多錄取名單相關內容,盡在“錄取名單”欄目!



掃碼添加獲取各院校復試名單及錄取名單
【版權與免責聲明】本站所提供的內容除非來源注明研線網,否則內容均為網絡轉載及整理,并不代表本站贊同其觀點和對其真實性負責。文章由本站編輯整理發出,僅供個人交流學習使用。如本站稿件涉及版權等問題,請聯系本站管理員予以更改或刪除。