今日2022年考研數學大綱正式發布,與去年的大綱對比,今年的數學大綱幾乎沒有變化,那么線性代數有哪些常考要點需要注意呢?為了幫助考生有效地進行線性代數的復習,下面中公考研數學教研團隊帶著大家共同來認識一下考研數學線性代數的重點內容和典型題型,希望為大家的復習帶來幫助。
線性代數在考研數學中占有重要地位,須予以度重視。線性代數試題的特點比較突出,以計算題為主,證明題為輔,因此,須注重計算能力。線性代數在數學二中占20%左右。2021年考研數學中線性代數共五道題目,(3道選擇題+1道填空題)*5分+1道解答題12分=32分。
下面剖析一個經常出現的考試要點——二次型。首先,要求掌握二次型及其矩陣表示,讓我們看一下2013年數學一二三考研試題:

由于二次型與它的實對稱矩陣式一一對應的,所以二次型的很多問題都可以轉化為它的實對稱矩陣的問題,可見正確寫出二次型的矩陣式處理二次型問題的一個基礎。我們分析

其次,我們需要了解了解二次型的秩和標準形等概念,其中二次型的秩可以通過矩陣的秩加以研究,而標準形要注意區分是正交變換法下的標準形還僅僅是非退化的線性變換,前者保持特征值不變,后者僅僅能夠保持正負慣性指數不變(特征值的符號/正負特征值的個數)這一點我們接著看這道試題的第二小問:

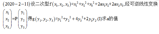
再次,需要特別注意的是我們還需要了解二次型的規范形和慣性定理(2018年大題、2019及2021年選擇均有涉及);掌握用正交變換并會用配方法化二次型為標準形(這點在2020年數學二大題有所考察);這里需要單獨把2020年試題單獨拎出來給大家說明:

而數學二的試題僅僅是可逆的線性變換,所以僅僅能說明對應矩陣是合同的,即轉化為對應的秩相同,可以解得
二次型最后一個需要注意的考試要點是需要同學們理解正定二次型和正定矩陣的概念及其判別方法。重點題型有:二次型正定性的判別和證明。這部分歷年試題共出現過十道題目,總結題型如下,一數值型利用順序主子式求參數,二是抽象型利用特征值判定,三是證明題一般利用的是定義(需要注意不要忘記所需證明的二次型矩陣一定要先證明是實對稱矩陣)。以上就是關于線性代數中關于二次型的考試要點總結,希望對同學們有所幫助。
以上就是小編整理分享“2022數學二考研大綱已公布!重點內容和典型題型—二次型”的全部內容,想了解更多相關信息,請持續關注研線網。