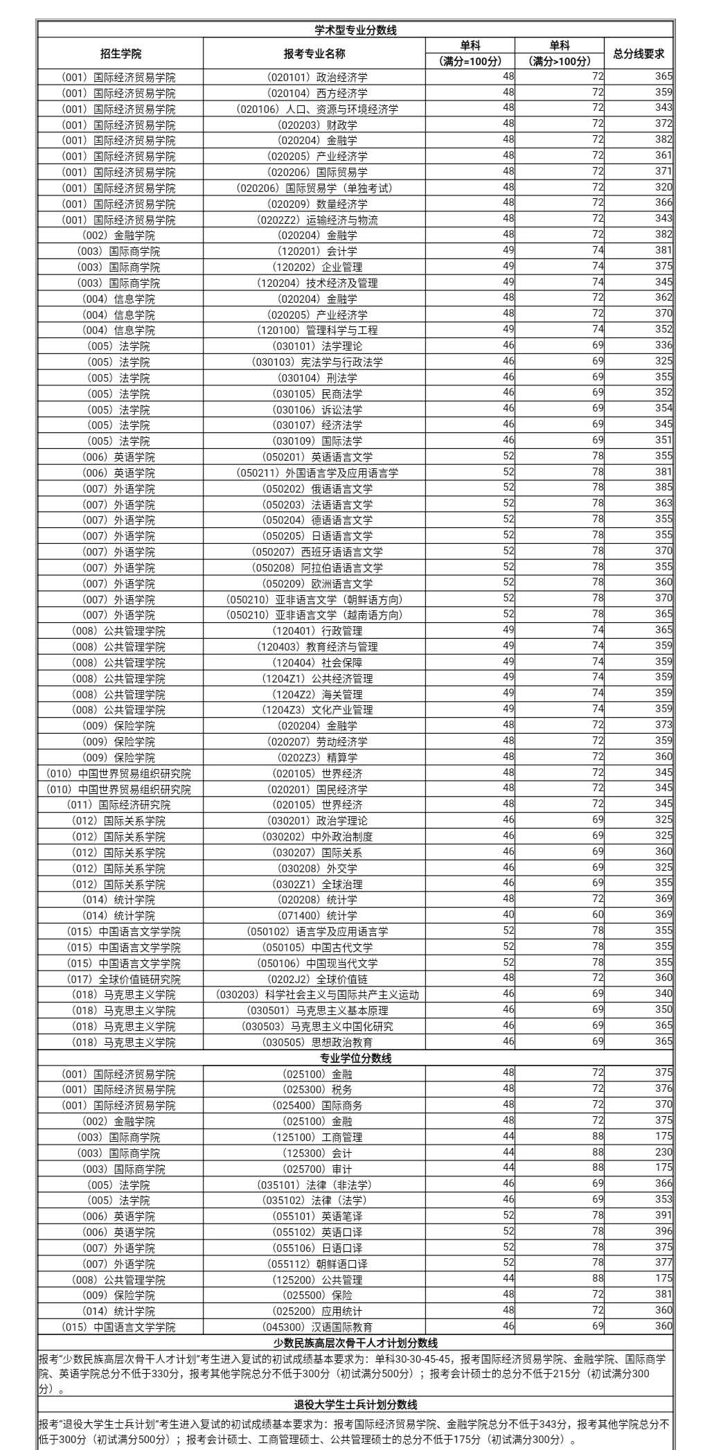
根據2020年我校碩士研究生初試成績統計結果和各學科專業擬招生計劃,在《2020年全國碩士研究生招生考試考生進入復試的初試成績基本要求》基礎上,經學校研究生招生工作領導小組討論決定,對外經濟貿易大學2020年碩士研究生招生考試考生進入復試的初試成績基本要求如下:

說明:
1. 以上為考生進入我校復試的初試成績基本要求,不滿足我校復試分數線的考生均不具有復試資格。
2. 我校實行差額復試,復試時間、形式及要求等工作,將視疫情發展,按照上級部門統一部署進行安排,并通過我校研究生院官網(http:// yjsy.uibe.edu.cn/)和研招辦官方微信公眾號(uibeyzb)及時對外發布。請考生密切關注,耐心等待后續通知。
3. 根據教育部文件規定,享受加分政策考生:
(1)參加“大學生志愿服務西部計劃”“三支一扶計劃”“農村義務教育階段學校教師特設崗位計劃”“赴外漢語教師志愿者”等項目服務期滿、考核合格的考生,3年內參加全國碩士研究生招生考試的,初試總分加10分,同等條件下優先錄取。
(2)高校學生應征入伍服現役退役,達到報考條件后,3年內參加全國碩士研究生招生考試的考生,初試總分加10分,同等條件下優先錄取。納入“退役大學生士兵”專項計劃招錄的,不再享受退役大學生士兵初試加分政策。
(3)參加“選聘高校畢業生到村任職”項目服務期滿、考核稱職以上的考生,3年內參加全國碩士研究生招生考試的,初試總分加10分,同等條件下優先錄取,其中報考人文社科類專業研究生的,初試總分加15分。
加分項目不累計,同時滿足兩項以上加分條件的考生按最高項加分。
對于符合教育部加分政策的考生,須于4月26日中午12:00前,將本人有效居民身份證(正反面)、有本人手寫簽名的說明及相關證明材料,掃描或拍照后,以“2020碩士初試加分+考生編號+姓名”為郵件主題,發送至我校研招辦郵箱yzb@uibe.edu.cn。我校將根據教育部最新文件及名單核實考生加分資格,并以電子郵件形式予以回復,請考生注意及時查看本人電子郵箱。
4. 對不符合報考條件(含專項計劃考生享受專項計劃條件)或弄虛作假者,不論何時,一經查實,即按有關規定取消報考資格、復試資格、錄取資格或取消學籍,后果由考生自負。
以上就是有關“2020考研分數線:對外經濟貿易大學2020年碩士研究生招生考試復試基本分數線公布”的全部內容了,進入復試的同學一定要好好準備,在國家線徘徊的同學抓緊準備調劑了!