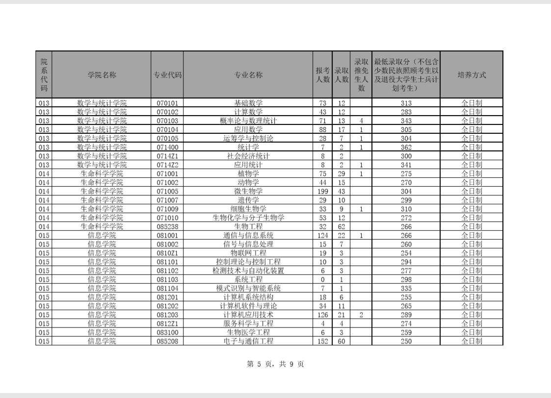
考研報錄比是考生在擇校擇專業時關注的重點內容之一,因此考研報錄比成為考生衡量報考難度的重要因素。為了節省考生們的時間,小編整理了云南大學2018年考研報錄比,希望能對大家有所幫助。









以上是為考生整理的“云南大學2018年考研報錄比”相關內容,希望對大家有幫助!另外,小編還給大家匯總了全國各大地區報錄比匯總,為大家的考研夢想助力!









掃碼添加獲取各院校復試名單及錄取名單
【版權與免責聲明】本站所提供的內容除非來源注明研線網,否則內容均為網絡轉載及整理,并不代表本站贊同其觀點和對其真實性負責。文章由本站編輯整理發出,僅供個人交流學習使用。如本站稿件涉及版權等問題,請聯系本站管理員予以更改或刪除。