極限中必備的公式:



間斷點:

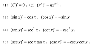
導數公式:




中值定理:

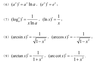
常見函數的麥克勞林展開公式:

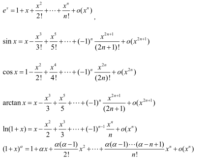
不定積分:

上述是一元函數微積分學高頻的使用公式,請多加練習記住。
以上就是今天的全部內容,想要獲取更多資訊,請持續關注本網站!



間斷點:

導數公式:




中值定理:

常見函數的麥克勞林展開公式:

不定積分:

上述是一元函數微積分學高頻的使用公式,請多加練習記住。
以上就是今天的全部內容,想要獲取更多資訊,請持續關注本網站!
掃碼添加獲取各院校復試名單及錄取名單
【版權與免責聲明】本站所提供的內容除非來源注明研線網,否則內容均為網絡轉載及整理,并不代表本站贊同其觀點和對其真實性負責。文章由本站編輯整理發出,僅供個人交流學習使用。如本站稿件涉及版權等問題,請聯系本站管理員予以更改或刪除。