什么才是一個人最寶貴的財富呢?金錢?時間?都不是,注意力才是每個人都擁有的、最重要、卻被人忽視了的寶貴財富。
錢不是最重要的,因為它可以再生;時間也不是最重要的,因為它本質上不屬于你,你只能試著與它做朋友,讓它為你所用。你的注意力才是你所擁有的最重要、最寶貴的資源。所以,你必須把最寶貴的注意力全部放在你自己身上。
注意力是我們內在的選擇,它不像時間是游走在我們身體之外的東西,而是可以通過我們的控制完全為我們服務的。最終,你的一切價值,都是你的注意力的產出。而且,更為關鍵的是,一個人的注意力,很可能是唯一能夠稱得上是“與生俱來”的,有產出能力的資源。
那注意力要放在自己的哪兒上呢?答案明確而又唯一:放在“成長”上。
成長才是根本關鍵。選擇是否做一件事的判斷標準有一個就足夠了:我選擇的事能不能讓我積累更多的能力?
這里有個陷阱:很多人在做選擇的時候,考慮的是,在這個選擇之后,我過往的能力能否用得上?這是“終點式思維”,不是“里程碑式思維”。正是因為這樣想了,所以大多數人習得新能力的可能性越來越低。因為他們不知不覺已被自己的已有能力禁錮了。
真正正確的思考方式應該是:在這個選擇之后,能幫我完善哪個已有能力,能讓我獲得什么新能力。
1
行程問題在應用題中,屬于偏簡單一些的問題,因為我們從小學就開始大量的做這類應用題,已經非常熟悉了。但我們小學做的都是偏簡單的,在我們的考試中,行程問題有時候題目會比較難一些,所以,我們這里有必要拿出幾道難題來看看,到底是難到了哪里?過程簡化后,是不是和簡單題沒啥區別呢?
快、慢兩列車的長度分別為160米和120米,
它們相向行駛在平行軌道上。若坐在慢車上的人見整列快車駛過的時間是4秒,那么坐在快車上的人見整列慢車駛過的時間是()
A,3秒 B,4秒 C,5秒 D,6秒 E,以上結論均不正確

很多同學會覺得,求時間得知道路程和速度。但這里兩輛車的速度都不知道,而且兩輛車還是在奔跑中,走過的路程也不確定,不知道如何求時間。
其實有時候,不需要我們每個概念都知道具體的數值,同樣也能算出答案。對于題干條件“坐在慢車上的人見整列快車駛過的時間是4秒”來說,慢車的人看見的是快車駛過去,也就是從車頭駛過到車尾出現,所以,這里走完的路程就是快車的長度:160米。那速度呢?由于兩輛車是相向行駛,所以速度是快慢車速度之和。因此有:

現在球的是坐在快車上的人見整列慢車駛過的時間,那么,由于還是相向行駛,所以整體速度還是快慢車速度之和。不過這里是看見慢車駛過,所以,這里所需的路程是120米。假設所需時間為t,則有:

根據上述兩式,易得t=3秒。因此選A。
有些同學覺得這類題不太好理解,一般都是相遇或追及問題,走過的行程是個相對確定的表達式。而這類相遇直到錯過的問題,總感覺路程把握的不夠牢固。如果你這樣想,那老師用另一種方法講,你就完全明白了。
還是上面這道題,“坐在慢車上的人見整列快車駛過的時間是4秒”,在這里,我們假設慢車是相對靜止的,那么快車相對來說,速度就是快慢車速度之和。此時看見整列快車駛過,那走過的行程就是快車的長度160米。同樣可以算出來快慢車速度之和為40米/秒。
“坐在快車上的人見整列慢車駛過”,我們這里假設快車是相對靜止的,那么慢車相對快車來說,速度就是快慢車速度之和40米/秒。此時快車上的人看見慢車駛過,那走過的路程就是慢車長度120米,同樣可以求得時間為3秒。
2
我們再來看一道類似的題,做完后,感受會更深一些:
(1998年)在有上下行的軌道上,兩列火車相向開來,若甲車長187米,每秒行駛25米,乙車長173米,每秒行駛20米,則從兩車頭相遇到車尾離開,需要:
A.12秒 B.11秒 C.10秒 D.9秒 E.8秒
像這道題,我們就可以假設甲車靜止,那么乙車的速度就是25+20=45米/秒。從車頭相遇到車尾分離,經過的路程為187+173=360米,那么所需時間為360÷45=8秒。
3
行程問題少不了三要素:路程、速度、時間??捎械念}中,提供的數據幾乎只涉及到一類,比如只給了時間的數據,沒有涉及其他兩個,這類題怎么做呢?我們來看一道:
小張騎自行車行駛在雙軌鐵路旁的公路上,他注意到:每隔12分鐘,就有一列火車由后面追上他,每隔4分鐘,就有一列火車由對面向他開來。如果每列火車的間隔一定,速度相同,且火車和騎手都是勻速的,則火車的開車間隔為:
A.6分鐘 B.5分鐘 C.4分鐘 D.7分鐘
E.8分鐘
這道題里的兩個數據,都是關于時間的,所求的內容也是關于時間的。除此之外,沒有其他數據了。
那這類題我們怎么做呢?答案是:該干啥干啥!我們仍然要把時間、路程、速度之間的關系建立起來。
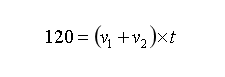
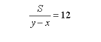
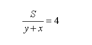
速度方面,我們假設小張的速度是x,火車的速度是y。路程方面,題中唯一涉及到長度的,就是火車的間隔長度,由于間隔一定,速度相同,所以我們假設間隔距離為S。
分析:類似于這種不斷循環的過程,我們就從這個過程的開始到結束去考察。比如這道題,我們就從現在被追上,到下一次被追上?,F在相遇到下一次相遇。用周期來研究。
“每隔12分鐘,就有一列火車由后面追上他”,說明火車在他后面距離為S(前車剛追上他的時候),然后用時12分鐘追上他。得:

“每隔4分鐘,就有一列火車由對面向他開來”,說明火車在他前面距離為S(前車剛和他碰面的時候),然后用時4分鐘和他相遇。得:

兩式合并,可求得:

即,火車的開車間隔是6分鐘。
好了,限于篇幅,這期的內容我們就先講到這里了,下一期,我們再來幾道難一些的行程問題,我們繼續研究數學之美。