老師平常接觸學生比較多一些,收集到的學生的問題也就多一些。因此,哪些問題是學生經常問到的,哪些問題是學生經常搞混的,老師還是略知一二的。今天我們就來講一個排列組合中的分組問題。
話不多說,先上一道題瞅瞅:
將9個人分成3組,每組3個人,共多少分法?
既然是9個人平均分為3組,那必然是分成3、3、3,三個組。因此,我第一步從9個人里面選出3個人作為一組,第二步從剩余6個人里面選出3個人作為一組,第三步將最后3個人選走,作為第三組。即:

對嗎?大錯特錯矣!!!
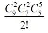
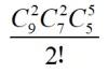
排列組合和概率問題存在著這樣的“特點”:看似很正確的邏輯,往往里面有很大的缺陷。這道題的正確列法應該是:

為什么要多除以一個3的階乘呢?是因為這里面會有重復!我舉個例子你就明白了。
假設我們用

分出來的三組情況是:
(1,2,3)(4,5,6)(7,8,9)
也就是說,

我選出來的是(1,2,3)

我選擇出來的是(4,5,6)

我選擇出來的是(7,8,9)
可以吧?符合題意要求吧?
那我會不會

選出來的是(4,5,6)

我選擇出來的是(1,2,3)

我選擇出來的是(7,8,9)
這樣分好的組就是:
(4,5,6)(1,2,3)(7,8,9)
那這個組和(1,2,3)(4,5,6)(7,8,9)不是一樣的分組嗎?情況一樣,而且我這里只是分組,沒有說給每個組編有號啥的。所以我們這道題就出現了重復。那出現重復,怎么消除,也很簡單,就是幾個字:
有幾個組情況一樣(指數字),就除以幾的階乘
在我們這道題中,有3個組情況一樣(數目都是3個人),因此要除以3的階乘,即3!(不是感嘆號!不是感嘆號!不是感嘆號!重要的廢話,說三遍!)。
上面那道題中,數學3來3去的,容易搞混,我們換個數字來做一下:
將9個人分成5人,2人,2人三個組,共多少分法?
首先,分人:

然后,有幾個組情況一樣,除以幾的階乘,在這里有兩個組情況一樣(都是2個人),所以除以2的階乘:

看,分組問題就是這么簡單,先分數量,再看有幾組情況一樣,除以幾的階乘,從而消除重復。
還有同學說了,老師,這道題,我能不能先9個人中選2個人,剩余的7個人中選2個人,再剩余得5中個人選5個人,即:

這樣會不會結果不一致?哈哈,當然不會啦,你算一下就知道了,結果一樣一樣滴!
分組問題相對簡單,一般不會直接考察,一般后面會再加上一個分配問題,綜合起來考察。在這種題型中,一定要先分組后分配。只此一招,你就可以解決所有的這類問題,而且頭腦不會混亂(不建議再學定向分組問題,容易搞混,學有余力的童鞋,就當我沒說哈)。
來,整一道題試試唄:
將9個人分成3組,每組3人,然后分別執行甲、乙、丙三項任務,
共多少種方法?
如果是學習比較好的同學,上來就是定向分組:

其邏輯是:9人選3人執行甲任務,剩余6人選3人執行乙任務,最后3人執行丙任務。但是有些同學會疑惑,老師,這樣有沒有重復啊(沒有)?另外,我怎么才能知道有沒有重復?這個和上面的那道題,有什么區別啊?
你看,混亂、迷惑就出來了。所以我不太建議學生同一類題學習很多解題方法,只要把一種解題方法學好了,弄懂了,就足夠用了。多余的時間和精力,搞搞其他知識點或其他科目去。
因此我在這里只建議學習:先分組,后分配的方法。就兩個步驟,①先分好組,避免掉重復;②再分配具體的工作或任務。
對于這道題,第一步先分組:

現在是分成了三個組,這三個組分別要去做3項任務,就相當于三個人坐3個座位一樣,是個簡單的排列,因此,乘以3!即可,即:
然后計算中省略啥的,自己搞就行了,思路永遠保持清楚:先分組,后分配。
最后,這類題還有一種花樣,也是把很多學生搞蒙了的,我們一并來解決一下,看一道題:
分配9個人執行甲乙丙三項任務,甲任務需4人,乙任務需3人,
丙任務需2人,共多少種方法?
牢記我們的思路:先分組,后分配。首先,先分組:
沒有相同情況,不需要除以幾的階乘。然后,后分配,在分配的時候,這里要注意了,分組分出的4,3,2中,4人組的那個只能去執行甲任務了,3人組的那個只能去做乙任務,2人組的只能去執行丙任務。也就是分好組的那一刻,這些組的去向就定死了,所以后面的分配,我們也就象征性的乘以1的階乘就可以了。

好了,分組問題就講到這里了,歡迎點贊收藏點在看,不點不贊是壞蛋喲!我們下期再見!
老師寄語:
說實在的,生活和工作中,有很多問題都是有固定的解決方案的。需要創新性的解決思維的地方,極少極少。我們所能用于改變我們生活的,就是特定情況下,用固定的解決思路解決問題。
找到一個解決問題的方法,踏踏實實的按照這個方法的思路一步步執行下去,雖然有可能會慢一些、笨一些,但執行下去,一定會收獲滿意成果。
把時間用于琢磨技巧、竅門和捷徑的人,注定是徒勞無功的,最終不但沒有取得理想成果,還浪費了辛辛苦苦賺來的金錢,甚至搭上了寶貴的時間和注意力。
數學的學習過程中就存在一些問題,很多學生追求快速解題方法,找竅門,琢磨“三短一長選一長”、“三長一短選一短”啥的,就是不肯踏踏實實去琢磨清楚一個定理、一個公式。這些學生本質上是腦子糊涂,沒有搞明白事情的重要性和重要順序。
我們都清楚:做事情的難易程度和回報成正比。那些選擇“走捷徑”的學生,本質上就是認為找竅門比踏踏實實學習要簡單,因為人的本性就是去難就易。但從上面的原則來看,我們選擇了一條簡單的事情,可想而知,回報(也就是成績),自然就不再理想了。
所以,老師在這里奉勸各位考生,踏踏實實做好功課,耐心等待果實成熟的那一天。